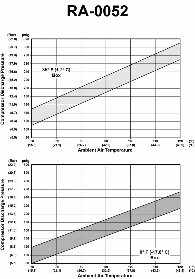
An air-cooled refrigerated container unit using R-134a as a refrigerant has a box temperature set point of 32°F, but it is currently operating with a stable supply air temperature of 35°F. The fresh air makeup vent is closed, the unit is operating at 460 VAC/60 Hz, and the unit is in full capacity cool (modulating valve 100% open). Using the illustrated troubleshooting guide, if the ambient air temperature is 80°F, what statement is true concerning the operating discharge pressure if it is currently 220 psig? See illustration GS-RA-52.
• Use the 35°F (1.7°C) box temperature chart, not the 0°F chart, because the unit is operating near that temperature. • On the chart, find the ambient air temperature of 80°F and then look at the shaded “normal” discharge pressure band that corresponds to this ambient. • Compare the actual discharge pressure of 220 psig to the normal band at 80°F to decide if it is low, normal, or high.
• At 80°F ambient, where does the shaded region for compressor discharge pressure lie on the 35°F box chart? Is 220 psig inside, above, or below that band? • How does a higher ambient temperature generally affect discharge pressure on an air‑cooled condenser system using R‑134a? • If the unit is at full cooling capacity with modulating valve 100% open, what would you expect the discharge pressure to look like relative to the chart?
• Verify you are reading the top graph labeled 35°F box and not the bottom one. • Read the pressure axis (psig) carefully at 80°F ambient and note the approximate upper and lower bounds of the shaded band. • Confirm whether 220 psig falls within, above, or below this shaded band at 80°F before choosing your option.
No comments yet
Be the first to share your thoughts!